14+ thread engagement calculator

Roarks Formulas for Stress and Strain Formulas for Circular Rings Section 9 Reference loading and load terms 14. - For left hand threads include LH to the designation.


Pipe Thread Pitch Diameter Formulas And Calculator

The taper rate for all NPT threads is 116 34 inch per foot measured by the change of diameter of the pipe thread over distance.

. Because of the larger tensile stress areas they have high tension strength. Test in one of our 14 certified testing laboratories worldwide 3 with a ISOIEC 17025 certification. Thread engagement length calculator.

- NPT Thread taper angle 116 taper 1 deg. Some of the bolts barely have any thread projecting out the top in order to work without bottoming out. ISO 965-1 Calculator.

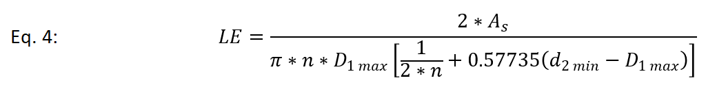
Exhibitionist Voyeur 061917. Calculate the theoretical minimum required thread engagement length for blind hole and through hole applications. Computer Phone Multimedia Consoles Video Games.

Icahn School of Medicine at Mount Sinai in New York City is a leader in medical and scientific training and education biomedical research and patient care. For calculations of different engagement length use the Thread Calculator Back to Thread Class Selection. Mobile Application Development Tools.

14 UN STI Screw Thread inserts such as Helicoil. Although sometimes defined as an electronic version of a printed book some e-books exist without a printed equivalent. Your guide to the future of financial advice and connection.

The 25 Most Influential New Voices of Money. Formulas for moments loads and deformations and some selected numerical values. Try out our free online calculator now.

47 min 075 inft. The brown-capped PRS30 takes all the rugged and reliable features of the Pro-Spray body and delivers efficient pressure regulation by keeping water pressure at a constant 30PSI. The nominal pipe size number of threads per inch and the thread series symbol in sequence.

The built-in regulator is proven to reduce water waste and promote healthier root zones because water is delivered at the. The tolerances specified in the ASME B18-1988 standard are applicable to lengths of engagement not exceeding twice the basic major diameter. Ultimately engagement indicates that your audience is well engaged.

Cycle Life05C25 80DOD 2000 Cycles. Platform provides everything you need for enterprise mobility management. The ability to regulate water pressure is crucial to overall system efficiency.

The angle between the taper and the center axis of the pipe is 1 47 24 17899. Shop by department purchase cars fashion apparel collectibles sporting goods cameras baby items and everything else on eBay the worlds online marketplace. Gratuit et sans pub.

Stacy Puma Ch. Exhibitionist Voyeur 062017. The console has no problem.

My ps5 is available and is in working order the ps5 is accompanied by a CD controller and headphones. I always check the thread engagement at the shank since structural bolts have random thread lengths. June 14 2022 REU1440749.

Prowl with the Puma. Courthouse Administration Building 400 S. 78 - 14 UNF.

NPT Thread Calculator for NPT thread dimensions according to ANSIASME B1201 standard. Explore the list and hear their stories. UNC and UNF sizes.

If building machinery use lock washers and flat washers on slots with grade 5 bolts not A325 bolts. Circular Ring Moment Hoop Load and Radial Shear Equations and Calculator 14. Basic Thread Dimensions Pitch minor major diameters depth lead Tolerance range for all applicable classes and much more.

Engagement helps boost your News Feed placement based on the Facebook algorithm. This is our practice. Be on the cutting edge of marketing technology with Marketing Cloud Account Engagement.

38 - 18 NPT - For additional dimensions see NPT Pipe Thread Calculator. Length of Screw Thread Engagement per. Déjà plus de 15 millions dutilisateurs.

8 Thread Series 8UN is the specified thread forming method for several ASTM standards including A193 B7 A193 B8B8M and A320. Facebook engagement matters because it can help extend organic reach. Posse Whipped 478 The Apache Goddess gives the guys a run for their money.

Only tolerance class 2G is established for general usage in ASME ANSI B18. - The angle between the sides of the thread is 60 deg. Avec FamilyAlbum partagez en privé et sauvegardez en illimité les photos et vidéos des enfants.

However a longer engagement is required for fine thread applications than for coarse series threads to prevent stripping. Stub Acme Thread Calculator for single start Stub Acme threaded rod and nut dimensions. 14 - 18 NPT - LH - For pressure-tight joints it is intended that taper pipe threads be made up wrench-tight with a sealant.

Indian Giver 462 ApacheSlut is her online name. Maximum Continuous Charging Current. Shop by department purchase cars fashion apparel collectibles sporting goods cameras baby items and everything else on eBay the worlds online marketplace.

Find the latest tips advice news stories and videos from the TODAY Show on NBC. Maximum Continuous Discharging Current. Plus likes and shares expose your posts to your audiences extended network.

An ebook short for electronic book also known as an e-book or eBook is a book publication made available in digital form consisting of text images or both readable on the flat-panel display of computers or other electronic devices. Length of thread engagement is measured by the length of interaction between the fastener and nut. Over 2000 straight pipe threads tap drill sizes thread dimensions measure over wires and printable reports.

78 - 14 UNF 2B Internal Permisable values for thread Class 2B Description Value Inch.


Acst101 Full Notes Acst1001 Finance 1a Mq Thinkswap


Rules Of Thumb For Thread Engagement


Thread Calculator


Amazon Com The Pearl Source 14k Gold 6 6 5mm Round White Triple Japanese Akoya Saltwater Cultured Pearl Bracelet For Women Clothing Shoes Jewelry


Thread Engagement Length Calculation Pdf Strength Of Materials Screw


How To Calculate Fastener Minimum Thread Engagement Length Omnia Mfg


Minimum Thread Engagement Depth Cae Tool


Online Recommended Bolt Torque Calculator Based On Uts And Vdi 2230


Man Proposes After 3 Years Of Giving Girlfriend Playful Paper Engagement Rings


Workshop Creative Paper Quilling Worthing Theatres And Museum


Nist 800 171 Archives Page 2 Of 14 Cybersheath


How To Calculate Fastener Minimum Thread Engagement Length Omnia Mfg


Cheat Sheet For Finance 1a Acst101 Acst1001 Finance 1a Mq Thinkswap


How To Calculate Fastener Minimum Thread Engagement Length Omnia Mfg


Pdf Pressure Vessel Handbook Eko Darma Academia Edu


Mechanical Engineering Desing Shigley


Strategy Insights Aperture

Iklan Atas Artikel

Iklan Tengah Artikel 1

Iklan Tengah Artikel 2

Iklan Bawah Artikel